It takes two: dynamics of conversation

One reason that face-to-face conversation may be difficult for many individuals on the autism spectrum is because multiple modalities of information (speech, eye contact, tone of voice) need to be integrated on the fly. We analysed all three of these modalities during natural conversations between school-age children and an adult partner. To look at patterns of eye gaze we had participants wear a head-mounted eye tracker.

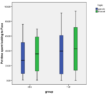
We were also interested in how the topic of conversation might change these behaviours, so we compared conversations on neutral topics with those on either a child’s special interest (unusually intense interests that are common in autism),or their favourite hobby. One possibility is that speaking about a topic of strong interest may make children more engaged and reciprocal with their partner. On the other hand, these interests may be so consuming and perseverative in nature that they reduce reciprocal conversation.

Our findings indicated that, speaking about their circumscribed interest led children on the autism spectrum to be less adaptive to their partner verbally, but at the same time speaking about this highly practiced topic allowed for increased attention to their partner’s face. Please click on the figures below to learn more.

In more recent work, we have been examining how the timing of gaze to a partner’s face is coordinated with conversational turn exchanges. We have also been examining body movement synchrony between two interacting people, and how this nonverbal coordination during conversation may differ between genders or people with different neurotypes. We are interested whether nonverbal coordination impacts the perceived success of the conversation and social judgments of one’s partner.

Publications

Journal Articles

  1. Nadig, A., & Shaw, H. (2015). Acoustic marking of prominence: How do preadolescent speakers with and without high-functioning autism mark contrast in an interactive task? Language, Cognition and Neuroscience, 30 (1-2), 32-47. https://doi.org/10.1080/01690965.2012.753150
  2. Nadig A, Seth, S. & Sasson, M. (2015). Global Similarities and Multifaceted Differences in the Production of Partner-Specific Referential Pacts by Adults with Autism Spectrum Disorders, Frontiers in Psychology, 6:1888. http://dx.doi.org:10.3389/fpsyg.2015.01888
  3. Bang, J., Burns, J. & Nadig, A. (2013). Conveying subjectivity in conversation: Mental state terms and personal narratives in typical development and children with high functioning autism. Journal of Autism and Developmental Disorders, 43 (7), 1732-1740. https://doi.org/10.1007/s10803-012-1716-4
  4. Nadig, A. & Shaw, H. (2012). Expressive prosody in high-functioning autism: Increased pitch range and what it means to listeners. Journal of Autism and Developmental Disorders, 42 (4), 499-511. https://doi.org/10.1007/s10803-011-1264-3
  5. Vivanti, G., McCormick, C., Young, G., Abucayan, F., Hatt, N., Nadig, A., Ozonoff, S. & Rogers, S. (2011). Intact and impaired mechanisms of action understanding in autism. Developmental Psychology, 47 (3), 841–856.
  6. Nadig, A. & Shaw, H. (2011). Expressive prosody in high-functioning autism: Increased pitch range and what it means to listeners. Journal of Autism and Developmental Disorders, 42 (4), 499-511.
  7. Nadig, A., Lee, I., Singh, L., Bosshart, K. & Ozonoff, S. (2010). How does the topic of conversation affect verbal exchange and eye gaze? A comparison between typical development and high-functioning autism. Neuropsychologia, 48 (9), 2730-2739.
  8. Nadig, A., Vivanti, G. & Ozonoff, S. (2009). Object descriptions under different communicative demands: How do children with and without autism adapt? Autism Research, 2, 1-14.
  9. Nadig, A. & Sedivy, J. (2002). Evidence of perspective-taking constraints in children's on-line reference resolution. Psychological Science, 13 (4), 329-336.

Selected Conference Presentations

  1. Latif, N., Di Francesco, C., and Nadig, A. (2019, July). Using Interpersonal Movement Coordination to Investigate Gender Differences in Adults with Autism. Poster presented at the 41st annual meeting of the Cognitive Science Society, Montreal, Canada.
  2. Latif, N., Di Francesco, C., and Nadig, A. (2019, May). Interpersonal Movement Coordination in Adults with Autism Spectrum Disorder (ASD): A Potential Tool for Addressing ‘Female Camouflage’? Poster presented at the annual meeting of the International Society for Autism Research, Montreal, Canada.

Back to main research page